Регулярные языки и конечные автоматы
Автоматы для регулярных языков
Покажем, что каждый регулярный язык можно распознать конечным автоматом.
Теорема 5.1. Для каждого регулярного выражения r можно эффективно построить такой недетерминированный конечный автомат M, который распознает язык, задаваемый r, т.е. LM= Lr.
Доказательство Построение автомата M по выражению r проведем индукцией по длине r, т.е. по общему количеству
символов алфавита
символов
и
знаков операций
и скобок в записи r.
Базис. Автоматы для выражений длины 1:
и
показаны на следующем рисунке.
Заметим, что у каждого из этих трех автоматов множество заключительных состояний состоит из одного состояния.
Индукционный шаг. Предположим теперь, что для каждого регулярного выражения длины <= k построен соответствующий
НКА, причем у него единственное заключительное состояние. Рассмотрим произвольное регулярное
выражение r длины k+1. В зависимости от последней операции
оно может иметь один из трех видов: (r1 + r2), (r1 r2) или (r1)*. Пусть
и
- это
НКА, распознающие языки Lr1 и Lr2, соответственно. Не ограничивая общности, мы будем
предполагать, что у них разные состояния:
.
Тогда НКА
, диаграмма которого представлена на рис. 5.2,
распознает язык
.
У этого автомата множество состояний
,
где q0 - это новое начальное состояние, qf - новое (единственное !)
заключительное состояние, а программа включает программы автоматов M1 и M2 и четыре новых команды
-переходов:
.
Очевидно, что язык, распознаваемый НКА M, включает все слова из L{M1} и из L{M2}.
С другой стороны, каждое слово
переводит q0 в qf, и после первого шага несущий его путь
проходит через q01 или q02. Так как состояния M1 и M2 не пересекаются, то в первом случае
этот путь может попасть в qf только по
-переходу из qf1 и тогда
.
Аналогично, во втором случае
.
Для выражения
диаграмма НКА
, распознающего язык Lr,
представлена на следующем рисунке.
У этого автомата множество состояний
,
начальное состояние q0= q01, заключительное состояние qf =qf2,
а программа включает программы автоматов M1 и M2 и одну новую команду -
-переход из заключительного состояния M1
в начальное состояние M2, т.е.
.
Здесь также очевидно, что всякий путь из q0= q01 в qf =qf2 проходит
через
-переход из qf1 в q02. Поэтому всякое слово, допускаемое M,
представляет конкатенацию некоторого слова из LM1} с некоторым словом из LM2},
и любая конкатенация таких слов допускается. Следовательно, НКА M
распознает язык
.
Пусть r = r1*. Диаграмма
НКА
, распознающего язык Lr=Lr1* = LM1*
представлена на рис. 5.3.
У этого автомата множество состояний
,
где q0 - это новое начальное состояние, qf - новое (единственное !)
заключительное состояние, а программа включает программу автомата M1 и четыре новых команды
-переходов:
.
Очевидно,
. Для непустого слова w по определению итерации
для некоторого k >= 1 слово w можно разбить на k подслов: w=w1w2... wk и все
. Для
каждого i= 1,... ,k слово wi переводит q01 в qf1. Тогда для слова w
в диаграмме M имеется путь

Следовательно,
. Обратно, если некоторое слово
переводит q0 в qf, то либо оно есть
либо его несет путь, который, перейдя из q0 в q01 и затем пройдя несколько раз по пути из q01 в qf1 и вернувшись из qf1 в q01 по
-переходу, в конце концов из qf1 по
-переходу завершается в qf.
Поэтому такое слово
.
Из теорем 4.2 и 5.1 непосредственно получаем
Следствие 5.1. Для каждого регулярного выражения можно эффективно построить детерминированный конечный автомат, который распознает язык, представляемый этим выражением.
Это утверждение - один из примеров теорем синтеза: по описанию задания (языка как регулярного выражения ) эффективно строится программа (ДКА), его выполняющая. Справедливо и обратное утверждение - теорема анализа.
Теорема 5.2. По каждому детерминированному (или недетерминированному) конечному автомату можно построить регулярное выражение, которое представляет язык, распознаваемый этим автоматом.
Доказательство этой теоремы достаточно техническое и выходит за рамки нашего курса.
Таким образом, можно сделать вывод, что класс конечно автоматных языков совпадает с классом регулярных языков. Далее мы будем называть его просто классом автоматных языков.
Автомат Mr, который строится в доказательстве теоремы 5.1 по регулярному выражению r, не всегда является самым простым.
Например, для реализации
выражения-слова a1a2 ... an, где
, можно просто
использовать автомат с (n+1) состоянием qi (i=0,1,2, ... , n) и командами q{i-1} ai -> qi, в котором нет пустых
-переходов, участвующих в общей конструкции для конкатенации.
Также при построении автомата для объединения M1 и M2 можно сливать их начальные состояния
в одно, если в них нет переходов из других состояний (тогда не потребуется новое начальное состояние).
Можно также объединить их заключительные состояния, если из них нет переходов в
другие состояния и алфавиты M1 и M2 совпадают. Если из заключительного
состояния M1 нет переходов в
другие состояния, то при конкатенации его можно объединить с начальным состоянием M2.
Вместе с тем,
утверждения задачи 5.9 показывают,
что наша общая конструкция достаточно экономна.
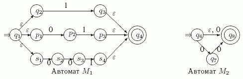
Пример 5.7. Применим теорему 5.1 к регулярному выражению
,
которое, как мы заметили в примере 5.4, представляет язык, состоящий из всех
слов, которые не содержат подслово '000'.
На рис. 5.5 представлены диаграммы автоматов M1 и M2, построенных
по выражениям r1 = (1 +01 +001) и
, соответственно, с помощью конструкций для конкатенации
и объединения. Как мы отмечали выше, автомат M1 можно было бы еще упростить, склеив
начальные состояния q2, p1 и s1, а также заключительные состояния q3, p3 и s4.
Автомат M3 для выражения r1* = (1 +01 +001)* получается из M1 добавлением нового
начального состояния q0 и заключительного состояния q5 и
-переходов из q0 в q1 и q5, из q4 в q5 и из q5 в q1. Затем результирующий автомат для исходного
выражения r получается последовательным соединением M3 и M2.
Он представлен ниже на рис. 5.6.




